Taylor Priest
An ecologist studying the diversity, ecology and evolution of microbes across Earth's biomes

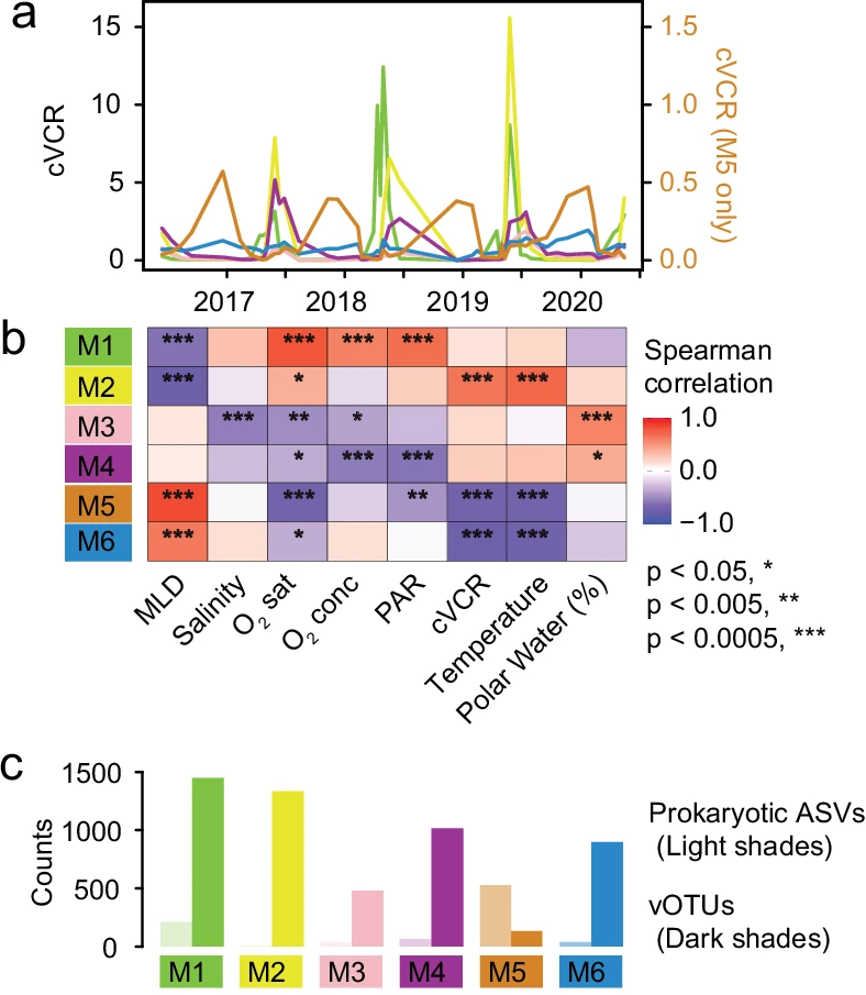
Arctic Ocean virus communities and their seasonality, bipolarity, and prokaryotic associations
Alyzza M. Calayag,
Taylor Priest,
Ellen Oldenburg,
Jan Muschiol,
Ovidiu Popa,
Matthias Wietz &
David M. Needham
Nature Communications, 2025.

Seasonal recurrence and modular assembly of an Arctic pelagic marine microbiome
Taylor Priest, Ellen Oldenburg, Ovidiu Popa, Bledina Dede,
Katja Metfies, Wilken-Jon von Appen,
Sinhué Torres-Valdés, Christina Bienhold,
Bernhard M. Fuchs,
Rudolf Amann, Antje Boetius & Matthias Wietz
Nature Communications, 2025.

Host-level biodiversity shapes the dynamics and network within the coral reef microbiome
Fabienne Wiederkehr, Karen Elena Engelhardt, Jana Vetter, Hans-Joachim Ruscheweyh, Guillem Salazar, James O’Brien, Taylor Priest, Maren Ziegler, Shinichi Sunagawa
ISME Communication, 2025.

Ayla Murray, Taylor Priest, Adria Antich, Wilken-Jon Von Appen, Stefan Neuhaus, Charlotte Havermans
Environmental DNA, 2024.

Matthias Wietz, Anja Engel, Simon Ramondenc, Matomo Niwano, Wilken-Jon von Appen, Taylor Priest, Anabel von Jackowski, Katja Metfies, Christina Bienhold, Antje Boetius
Environm. Microbiol., 2024.

Carbohydrates and carbohydrate degradation gene abundance and transcription in Atlantic waters of the Arctic
Taylor Priest, Silvia Vidal-Melgosa, Jan-Hendrik Hehemann, Rudolf Amann, Bernhard M. Fuchs
ISME Communications, 2023.

Atlantic water influx and sea-ice cover drive taxonomic and functional shifts in Arctic marine bacterial communities
Taylor Priest, Wilken-Jon von Appen, Ellen Oldenburg, Ovidiu Popa, Sinhué Torres-Valdés,Christina Bienhold, Katja Metfies, Bernhard M. Fuchs, Rudolf Amann, Antje Boetius, Thomas Mock, William Boulton, Matthias Wietz
ISME Journal, 2023.

Niche partitioning of the ubiquitous and ecologically relevant NS5 marine group
Taylor Priest, Anneke Heins, Jens Harder, Rudolf Amann, Bernhard M. Fuchs
ISME Journal, 2022.

Microbial metagenome-assembled genomes of the Fram Strait from short and long read sequencing platforms
Taylor Priest, Luis H. Orellana, Bruno Huettel, Bernhard M. Fuchs, Rudolf Amann
PeerJ, 2021.

Diversity and biomass dynamics of unicellular marine fungi during a spring phytoplankton bloom
Taylor Priest, Bernhard Fuchs, Rudolf Amann, Marlis Reich
Environmental Microbiology, 2020.
